Maker.io main logo

ESP32 Audio Project - Part I: Internet Radio with I²S DAC

1,968

2023-04-12 | By M5Stack

License: General Public License Arduino M5Stick

* Thanks for the source code and project information provided by @Ernst Sikora

Things used in this project

Hardware components

M5Stack M5StickC PLUS ESP32-PICO Mini IoT Development Kitx1

PCM5102 I2S DAC boardx1

Software apps and online services

Microsoft VS Code

PlatformIO IDE

Hand tools and fabrication machines

Soldering iron (generic)

Story

After discovering that my 25 years old Onkyo stereo amplifier is still working, I wanted to give it a second life. An M5StickC Plus (ESP32 pico) which I had obtained some time ago should serve as internet radio player. It provides built-in WiFi, an LCD, some buttons, and I²S output for digital audio. To achieve a sufficiently high audio quality, I decided to use an external digital-to-analog audio converter, the PCM5102A, with a line-out port.

Luckily, some similar projects exist already, and there is a great library - the ESP32-audioI2S - which does most of the work. So, the project was feasible in a reasonable amount of time. In the course of the project, I learned quite a few things about audio streaming.

And yes, I really like the result and use it every day! Meanwhile, I have extended the project with a Bluetooth receiver mode and IFTTT-based song lists.

 Key Features

  • Listening to internet radio stations

  • Station and song information shown on display

  • Switching the radio station on button press

  • Audio playback using I²S and a DAC with up to 32-bit

  • Mute and soft unmute during station change

  • Device and network information shown during startup

Copy Code
[env:m5stick-c]
platform = espressif32
board = m5stick-c
framework = arduino
upload_speed = 1500000
monitor_speed = 115200
build_type = debug
build_flags = -D CORE_DEBUG_LEVEL=4 ; 'Debug'
monitor_filters = log2file, esp32_exception_decoder, default
lib_deps =
    M5StickCPlus
    https://github.com/schreibfaul1/ESP32-audioI2S

 

Development Environment

I used Visual Studio Code with the PlatformIO IDE for this project. In the platformio.ini file of the project, library dependencies to the M5StickCPlus library, and the ESP32-audioI2S library are included.

Furthermore, I use the build_flags option to enable debug-level log messages, and the monitor_filters option to enable file logging and exception stack trace decoding.

Source Code

The commented source code is available in the GitHub repository of this project. To build the application, you additionally need to create a WifiCredentials.cpp file in the src folder, with the following content:

Copy Code
#include "WifiCredentials.h"
const char *WifiCredentials::SSID = "Your WiFi SSID";
const char *WifiCredentials::PASSWORD = "Your WiFi password";

Overview

The following figure shows the required connections between the M5StickC (Plus) and the PCM5102 DAC board (digital-to-analog converter). Two cables are required for powering the DAC board with 5V, and three cables for the 3-wire I²S digital audio connection. In addition, the SCK pin must be connected to GND which can be accomplished through a solder bridge on the DAC board.

1

Some helpful documentation for the DAC board including its solder bridges is available on Stackexchange. Detailed information on the PCM5102A integrated circuit can be found in the data sheet.

The following figure shows a simplified overview of the processing of the internet radio. The horizontal swim lanes represent its major components: the application program, the audio library ESP32-audioI2S, and the ESP32 itself along with its API (application programming interface), the ESP-IDF.

1

 

  • The application configures the GPIO pins, establishes the WiFi connection, and invokes the functions of the audio library in order to connect to an internet radio station and to process the incoming stream from the radio station. Furthermore, the application displays stream meta data on the LCD screen and reacts to button presses.

  • The audio library generates the required HTTP requests and processes the HTTP response of the streaming server according to the Icecast protocol. It decompresses the incoming compressed audio data frames and provides the raw audio data (PCM) to the ESP32 API in order to generate I2S audio output through the GPIO pins.

  • The ESP32 API provides the required low level functionality e.g. for creating operating system tasks, networking (TCP/IP stack, WiFi), and accessing the ESP32 peripherals such as I²S, DMA, and GPIO.

HTTP Communication with the Streaming Server

When the radio application calls the function Audio::connecttohost, for example, with the URL http://streams.radiobob.de/bob-national/mp3-192/streams.radiobob.de/ as parameter, the function sends the following HTTP request to the host streams.radiobob.de:

Copy Code
GET /bob-national/mp3-192/streams.radiobob.de/ HTTP/1.0
Host: streams.radiobob.de
Icy-MetaData: 1
Authorization: Basic Og==
User-Agent: ESP32 audioI2S
Connection: keep-alive

The host answers this request, for example, with the following HTTP response which redirects the client to a different location:

Copy Code
HTTP/1.0 302 Found
Access-Control-Allow-Origin: *
Cache-Control: no-cache, must-revalidate
Content-Type: audio/mpeg
Expires: Sat, 05 Feb 2022 11:16:31 GMT
Location: http://bob.hoerradar.de/radiobob-national-mp3-hq?sABC=61sr5p8s%230%23169n858364p5o3p81sp3r0r2opoo253o%23fgernzf.enqvbobo.qr&amsparams=playerid:streams.radiobob.de;skey:1644059791
Server: Caddy
Status: 302 Moved Temporarily
X-Powered-By: PHP/7.4.19
Date: Sat, 05 Feb 2022 11:16:31 GMT
Content-Length: 0
Connection: keep-alive

After the client sends another request to that location, it receives the following response header containing information about the radio stream, followed by the actual audio data:

Copy Code
HTTP/1.0 200 OK
icy-br: 192
icy-pub: 0
icy-description: RADIO BOB! National
icy-url: www.radiobob.de
Instance-id: 8f58e79d817a5661a90cef278ab87ad6
Cache-Control: no-cache
Server: bob.hoerradar.de 8.6.1
icy-genre: Rock
Expires: Mon, 26 Jul 1997 05:00:00 GMT
icy-metaint: 16000
Pragma: no-cache
icy-name: RADIO BOB! National
Connection: close
Content-Type: audio/mpeg
Set-Cookie: AISSessionId=60aea84800a186e4_22000699_hXEVrHIJ__0000004vGPw; Path=/; Domain=bob.hoerradar.de; Max-Age=6000; Expires=Sat, 05 Feb 2022 12:56:31 GMT

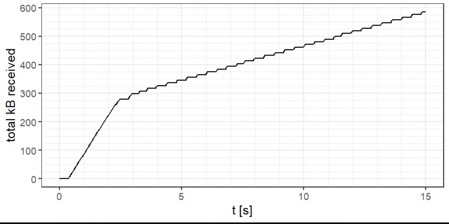
According to this response, the audio stream contains audio/mpeg (i.e., mp3) data and has a bit rate of 192 kB/s per second. Furthermore, meta data (e.g., artist and song title) is inserted into the stream every 16000 bytes. After receiving this header, the client can periodically read audio data from the connection. The following figure shows the arrival of audio data through the connection.

1

1/2 total amount of data in bytes received at time t in seconds

2

2/2 total amount of data in KB received from start until time t

Digital Audio Data Processing

From the incoming mp3 audio data stream, the esp32-audioI2S library functions extract mp3 frames. An mp3 frame contains 1152 audio samples. In case of a sample rate of 44.1 kHz this makes up a time length of approx. 26.1 ms (1152/44.1 ms). Each mp3 frame starts with an MPEG audio frame header of 4 bytes length. The first 11 bits of the header are sync bits which are always set to 1. The header contains, among other things, the MPEG version, MPEG layer, bit rate, sampling rate, channel mode, and a padding flag. Decoding the header FF FB B2 44 (see figure below) renders the following information:

  • MPEG Version 1

  • Layer III

  • bit rate 192 kB/s

  • sampling rate 44.1 kHz

  • frame is padded with one extra slot

The byte size of the mp3 frame can be computed from the bit rate, sample rate, and padding flag. With a bit rate of 192 kB/s, a sampling rate of 44.1 kHz and a padding slot included, the frame has a byte size of 627 bytes including the frame header: floor(144 * 192/44.1) + 1. Some examples of mp3 frames from a data packet received via HTTP are shown in the following figure.

1 

Decompressing such an mp3 frame into PCM audio data, i.e., raw audio samples, results in 2 channels * 2 bytes/sample * 1152 samples = 4608 bytes which are passed on to the I²S driver. The I²S driver takes care of sending the audio samples to the I²S controller via DMA transfer. The I²S controller eventually provides a (digital) I²S audio signal at the GPIO pins of the ESP32.

Digital-to-Analog Conversion

The I²S DAC board connected to the M5StickC GPIO pins converts the digital I²S audio data into an analog signal which can then run through a stereo amplifier, in my case a somewhat older 2 x 110 W Onkyo amplifier.

2

Code

https://github.com/esikora/M5StickC_WebRadio/tree/v0.1-webradio

制造商零件编号 K016-P
M5STICKC PLUS ESP32-PICO IOT KIT
M5Stack Technology Co., Ltd.
Add all DigiKey Parts to Cart
Have questions or comments? Continue the conversation on TechForum, DigiKey's online community and technical resource.